CNC系統中脈沖增量插補方式的速度控制計算在零件數控程序中,F指令設定了進給速度。速度控制的任務是為插補提供必要的速度信息。由于各種CNC系統采用的插補法不同,所以速度控制計算方法也不相同。
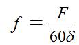
脈沖增量插補方式用于以步進電動機為執行元件的系統中,坐標軸運動是通過控制步進電動機輸出脈沖的頻率來實現的。速度計算就是根據編程的F值來確定脈沖頻率值。步進電動機走一步,相應的坐標軸移動一個對應的距離δ(脈沖當量)。進給速度F與脈沖頻率f之間的關系為:
式中,f為脈沖頻率(HZ); F為進給速度(mm/min);δ為脈沖當量(mm/脈沖)。
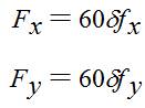
兩軸聯動時,各坐標軸的進給速度分別為

式中,Fx、Fy分別為x軸、y軸的進給速度(mm/min);fx、fy分別為x軸、y軸步進電動機的脈沖頻率。
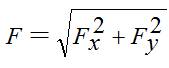
合成進給速度為: